8523: 公交路线

内存限制:128 MB 时间限制:1.000 S
评测方式:文本比较 命题人:
提交:2 解决:2

题目描述

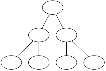
喵星人的世界是我们这些低智商生物无法理解的,比如他们的公交车站点连接起来刚好构成一棵完全二叉树(如图,它的高度h2,它的第i层有2^i个节点),我们知道,公交路线是不走回头路的,也就是说不会经过同一个站点两次,(起点和终点在同一地点也算一条路线),现在,他们想让每个站点都有公交车经过,问最少需要安排多少辆公交车?

     

h=2

输入

输入一个T,表示测试样例数

  对于每组测试数据,输入一个h,表示树的高度(0=<h<=60)

输出

对于每组测试数据输出一行,需要多少辆车?

样例输入 复制

5
0
1
2
3
4

样例输出 复制

1
1
3
5
11

提示

由于输出数据可能很大,要用long long 输出

请不要用__int64