长益信奥
主页
问题
题单
来源/分类
赛事
OI训练赛
OI限时赛
状态
排名
常见问答
登录
8056: 计算并联电阻的阻值
内存限制:128 MB
时间限制:1.000 S
评测方式:文本比较
命题人:
提交:1
解决:1
提交
提交记录
统计
流程图
露一手!
题目描述
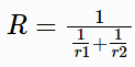
对于阻值为 r1 和 r2 的电阻,其并联电阻阻值公式计算如下:
输入两个电阻阻抗大小,浮点型。输出并联之后的阻抗大小,结果保留小数点后2位。
输入
两个电阻阻抗大小,浮点型,以一个空格分开。
输出
并联之后的阻抗大小,结果保留小数点后2位。
样例输入
复制
1 2
样例输出
复制
0.67
来源/分类
信息学奥赛一本通
常量和变量
洛谷
提交
提交记录
统计
露一手!