4422: C语言2.4

内存限制:32 MB 时间限制:1.000 S
评测方式:文本比较 命题人:
提交:6 解决:3

题目描述

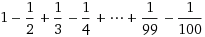
计算1-(1)/(2)+(1)/(3)-(1)/(4)+⋯+(1)/(99)-(1)/(100)

输入

输出

输出题目描述中表达式的值,使用C语言默认舍入方式保留8位小数。请注意行尾输出换行。

样例输入 复制

样例输出 复制

0.68817218

来源/分类